<
Reposting Gallery
Surah Al E Imran Ayat 103
zikir ketenangan hati dan pikiran
yb datuk seri mohd redzuan bin md yusof
ziana zain putus terpaksa lirik chord
yayasan bina upaya darul ridzuan
zizan razak dan mira filzah
zul ariffin gayatri su lin pillai
zaman kegemilangan pemerintahan islam di andalus
zaman prasejarah di malaysia tingkatan 1
<
Qs Ke 3 Surat Ali Imran 101 150 Jumlah Ayat 200
Tafsir Surat Al Imran 103 And The Dangers Of Nationalism دار نيـقـوسـيــا
Tafsir Ibnu Katsir Surah Ali Imraan Ayat 102 103 Alqur Anmulia
Mengorek Surat Ali Imran Ayat 103 Yang Dikutip Putin Agar Perang Yaman Diakhiri
Surah Al I Imran Verse 103
Quran Surah Ali Imran 103 Qs 3 103 In Arabic And English Translation Alquran English
Rah E Firdous Surah Al Imran Aayat 102 103
Tafsir Ibnu Katsir Surah Ali Imraan Ayat 102 103 Alqur Anmulia
Surah Al I Imran Verse 103
The Rope Surah Al Imran 3 103 Knowing God Surrender To God Allah
Tadabbur Wahyu Siri 565 Surah Ali Imran Ayat 103 Youtube
Qs Ke 3 Surat Ali Imran 101 150 Jumlah Ayat 200
Quran Surah Al I Imran Arabic English Transliteration
Surah Aal Imran Ayah 103 Lessons Verse By Verse Qur An Study Circle
Surah Al Imran 103 Youtube
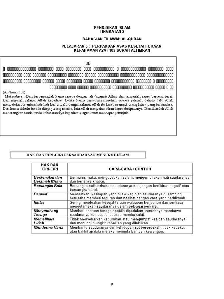
P5 Ali Imran Ayat 103 Perpaduan Asas Kesejahteraan
Ali Imran 102 104
Tadabbur Quran Ali Imran Ayat 103 Wajibnya Berjama Ah Mina News
Surah Ali Imran Ayat 103 1 Doc
Quran Surah Al I Imran Arabic English Transliteration
Source :
pinterest.com
Random Posts
Port Klang Jadual Pasang Surut Air Laut 2020
Playboy Itu Suami Aku Episod 15
Poster Gambar Bendera Malaysia Untuk Mewarna
Poster Buang Sampah Dalam Tong Sampah
Pola Baju Tidur Kanak Kanak Perempuan
Poslaju Kuala Terengganu Kuala Terengganu Malaysia
Pokok Buah Yang Sesuai Ditanam Di Halaman Rumah
Planet Paling Hampir Dengan Matahari
Polisi Keselamatan Dan Kesihatan Pekerjaan Kkm
Politeknik Sultan Abdul Halim Muadzam Shah Jitra Kedah
Pola Baju Kurung Kanak Kanak
Posisi Duduk Antara Dua Sujud Perempuan
Poster Kempen Budi Bahasa Budaya Kita
Poster Gaya Hidup Sihat Amalan Kita
Pondok Pak Ya Full Movie
Pok Ya Cong Codei Online
Politeknik Premier Dan Politeknik Konvensional
Politeknik Sultan Abdul Halim Muadzam Shah
Politeknik Ungku Omar Ipoh Perak Malaysia
Pos Barang Ke Luar Negara
Poster Cara Basuh Tangan Dengan Betul
Pok Ya Cong Codei Siti Di Hati Full Movie
Polis Evo 2 Full Movie Streaming
Pos Malaysia Kastam Klia Contact
Polis Dan Masyarakat Berpisah Tiada